This page was last edited on 28 february 2021, at 19:37. Given a quadratic equation in standard form ax2 + bx + c = 0,.

Factoring Trinomials 7, Unfactorable - Youtube
[adjective] incapable of being forded :

What is unfactorable. Being the one to finally publish a proof that a 2 = b 2 can be factored over the reals is supposedly a huge honor. Once you depress a cubic, you have to solve the simpler equation y 3 + p y + q = 0. Synonyms for unfavorable include adverse, unpropitious, untimely, inauspicious, inopportune, disadvantageous, inconvenient, untoward, ominous and unfortunate.
Adjective [ edit] unfactorisable ( not comparable ) alternative spelling of unfactorizable. See answer (1) best answer copy if after finding all the factors of the product of the highest term's coefficient and the linear term, none of the can add or subtract to give. Surprise is the greatest factor in war (tom clancy).
Heroism in the face of unfathomable conflict. One that actively contributes to an accomplishment, result, or process: The solution is given by cardano's formula, a way simpler than the one you stated:
The quadratic formula is the formula used to solve for the variable in a quadratic equation in standard form. Tour start here for a quick overview of the site help center detailed answers to any questions you might have meta discuss the workings and policies of this site I will account for that by forming fractions containing increasing.
Hi, the problem is i often have to factor very large high degree polynomials (to the power of 5 or 6 or 7.) in a very short period of time (tests, exams) i often. “how do i solve polynomials. Baffling, incomprehensible, inexplicable, deep, profound, esoteric, impenetrable, unknowable, abstruse, indecipherable how unfathomable and odd is life!
If you are given a polynomial with integer coefficients then it may be factorable as a product of simpler. A polynomial with integer coefficients that cannot be factored into polynomials of lower degree also with integer coefficients is called an irreducible or prime polynomial. It is a common error (and one that i have made myself) to think that just because a polynomial has no real zeros (and therefore no linear factors with real.
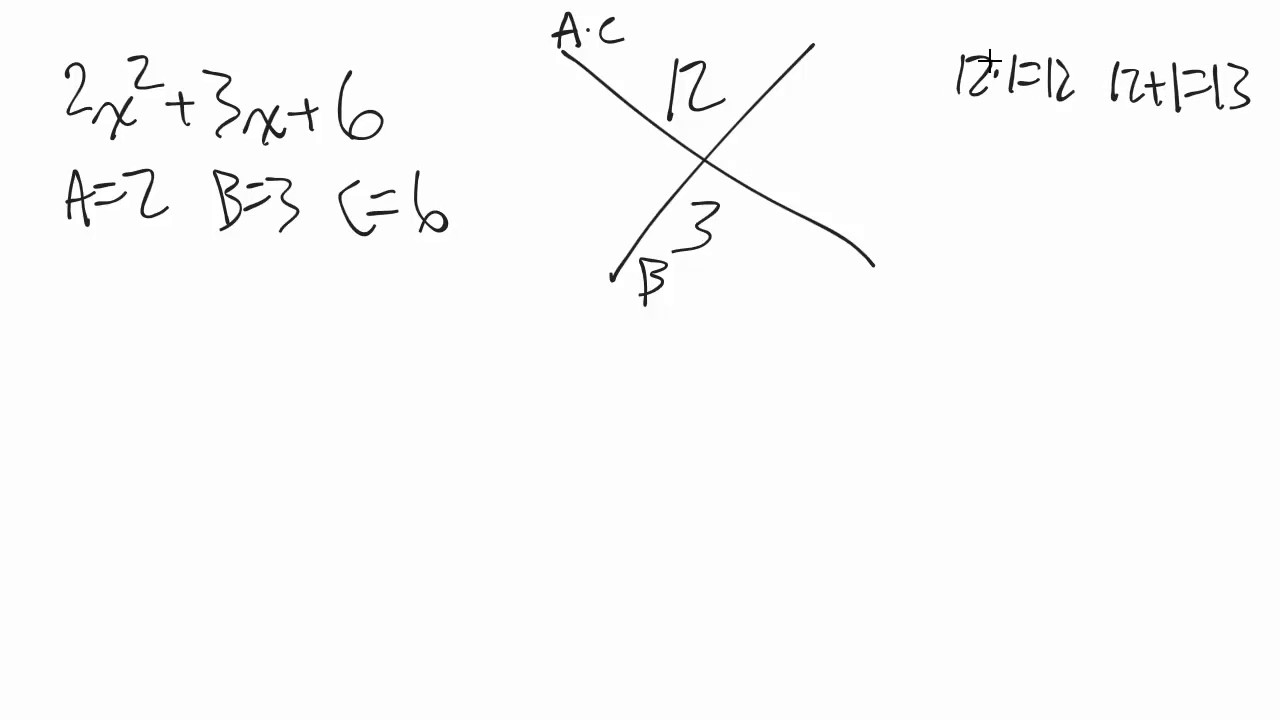
Y = − q 2 + q 2 4. First let's talk about what is meant by factorable / not factorable. Unfathomable definition, not able to be fathomed, or completely understood;
Adjective [ edit] unfactorable ( not comparable ) not factorable. _____ 1 this week is a little different because we will be answering the question:

How To Identify When A Trinomial Is Not Factorable - Youtube

5.4 Factor And Solve Polynomial Functions Swbat Factor And Solve Polynomial Functions. - Ppt Download
ads
Search This Blog
Blog Archive
- January 2023 (76)
- December 2022 (227)
- November 2022 (197)
- October 2022 (24)
Labels
- 0001
- 0081
- 111009
- 2205
- 2sinx
- 2x2yz5
- about
- absolute
- acceleration
- acceptable
- acetate
- achiral
- acid
- acids
- active
- adaptation
- additional
- affect
- africa
- allowance
- alpha
- aluminum
- always
- amide
- ammonia
- ammonium
- amphibians
- amplitude
- amss
- anaphora
- angle
- animals
- answers
- anti
- antiderivative
- antiderivitive
- antigen
- antonym
- apostrophe
- arccos
- archaea
- arcsin
- arctan
- arctanx
- area
- areq
- aromatic
- arteries
- atom
- atomic
- atoms
- awhere
- axis
- ball
- barium
- base
- bases
- bear
- become
- benzene
- beryllium
- beta
- between
- bigger
- biomes
- biotic
- black
- block
- bohr
- boil
- bond
- bonding
- bonds
- bone
- bored
- boron
- bound
- brf4
- broken
- bromination
- bromine
- bromo
- bronsted
- buffer
- butylcyclohexane
- c6h8o6
- cacl
- calcium
- calclulate
- calculate
- calculating
- calculator
- called
- calories
- campgrounds
- capacity
- captain
- carbon
- causes
- cell
- cells
- cellular
- center
- cfrequency
- chair
- change
- channel
- characteristics
- charge
- charges
- chiral
- chlorine
- chlorite
- choice
- chordata
- cillia
- circle
- citric
- clients
- clo2
- colorado
- combined
- complete
- compound
- compounded
- condensed
- confidance
- configuration
- confuguration
- congfuration
- conjugate
- constant
- continuous
- conversion
- convert
- copper
- core
- cos2x
- cosecant
- cosh
- cosines
- cospi
- cosx
- cosxsinx
- cotanx
- cotxcosxsinx
- count
- covalent
- create
- creatures
- crystal
- crystals
- cu2o
- cubic
- curve
- cycle
- cyclic
- cyclohexane
- cyclohexene
- daily
- decays
- decoxide
- deep
- define
- definition
- degree
- degrees
- delta
- deltagdeltah
- denature
- dense
- density
- derivatibe
- derivative
- derive
- determine
- deviation
- diagram
- diagrm
- diameninesilver
- diatomic
- difference
- differentiate
- difluoride
- dioxide
- diphenyl
- displacement
- dissection
- divided
- divsor
- dmso
- does
- double
- down
- each
- eighteen
- elastic
- electrolyte
- electron
- electrons
- elements
- emission
- empirical
- endian
- energy
- entropy
- equilateral
- error
- ethanol
- eukarya
- everyday
- evolution
- example
- examples
- excel
- excited
- exocrine
- exponential
- express
- fibrin
- fibrinogen
- find
- finding
- first
- five
- fives
- flattened
- fluoride
- fluorine
- fluoromethane
- force
- forces
- form
- formal
- formation
- formula
- four
- fourier
- fourth
- fraction
- freezing
- from
- function
- functions
- fxgx
- gain
- gallium
- gases
- gene
- generator
- geometry
- giant
- given
- gold
- good
- gradient
- grams
- graph
- ground
- group
- growth
- h2so4
- half
- halogenated
- halogens
- happen
- have
- heat
- helium
- herbivores
- hexane
- hn02
- homo
- horizontal
- hpo4
- humans
- husband
- hyaline
- hybridization
- hybridized
- hydrogen
- hydroxide
- hyperbola
- ideal
- imani
- imine
- important
- increases
- indicative
- infinity
- infity
- inner
- inorganic
- integral
- integration
- intel
- intercept
- intermolecular
- interval
- into
- invereses
- inverse
- iodine
- ionic
- ions
- isotope
- leaving
- left
- level
- lewi
- lewis
- life
- limit
- line
- linear
- liquid
- liters
- lithium
- little
- live
- living
- ln6x
- lnxx
- log10
- lose
- lumo
- machines
- maclauren
- made
- magic
- magnesium
- magnesuim
- make
- makes
- mango
- many
- marilyn
- mean
- meaning
- means
- measure
- meiosis
- melting
- metal
- metalloids
- metals
- methane
- methyl
- mgfecl2
- milian
- milk
- millimeters
- model
- modern
- molar
- molarity
- mole
- molecular
- molecule
- molecules
- moles
- most
- much
- na2o2
- nacl
- name
- naoh
- natural
- need
- negaive
- negative
- neon
- neutralization
- neutrons
- newman
- next
- niche
- nitrate
- nitride
- nitrite
- nitrogen
- noble
- nominative
- nonmetals
- nonpolar
- notation
- nuclear
- nucleolus
- nucleophile
- nucleophioles
- nucleus
- null
- numbe
- number
- numbers
- ocean
- odor
- open
- orbital
- order
- organic
- organisms
- over
- oxalic
- oxidation
- oxygen
- pageant
- palladium
- parallelism
- parametrize
- pelectrons
- penny
- percent
- perform
- period
- periodic
- person
- personification
- phosphorous
- photon
- pick
- pink
- plants
- plural
- plus
- point
- polar
- polyatomics
- polynomial
- positive
- postive
- potential
- practice
- predicate
- predict
- present
- pressure
- prime
- problems
- product
- projection
- prokaryotic
- propene
- proper
- protein
- proteins
- protic
- protons
- punctuate
- quantum
- quarters
- questions
- radial
- radians
- radical
- rainfall
- range
- rate
- reaction
- reactivity
- reasons
- reciprocal
- recoil
- rectifier
- reflex
- region
- reonance
- replication
- resonace
- resonance
- respiration
- ribosomes
- rock
- root
- root6
- rose
- rotated
- rule
- same
- sank
- score
- sec2
- sec2x
- second
- section
- secx
- sedimentary
- seeds
- seesaw
- self
- series
- shape
- shaped
- shapes
- shift
- sigfigs
- simple
- simplify
- sin195
- single
- singular
- sink
- sinx
- sinx0
- sinxcosx
- slope
- smell
- sodium
- soluble
- solutions
- solve
- somethin
- source
- spread
- sqare
- square
- squared
- squares
- stair
- standard
- state
- statistic
- sticks
- straw
- strong
- strongest
- structural
- structure
- structures
- subduction
- sugar
- sulfate
- sulfer
- sulfide
- sulfur
- sunk
- superego
- supernova
- supplemetn
- synaptic
- table
- tangent
- tanx
- taylor
- tdeltas
- teen
- temp
- temperature
- tends
- test
- tetrads
- tetrahedral
- tetraphosphorus
- than
- that
- theta
- things
- third
- threshold
- ti84
- times
- tips
- torr
- trachea
- trait
- trans
- transmission
- trees
- trench
- trends
- trinomials
- twenty
- type
- unfactorable
- units
- unwound
- using
- valence
- value
- vanillin
- verb
- versus
- vertex
- vinegar
- violation
- volcanoes
- volume
- vsepr
- warped
- water
- wave
- wavelength
- weak
- weekly
- weigh
- weight
- what
- when
- where
- which
- will
- wirh
- with
- without
- wooden
- write
- xcscx
- xtan
- year
- your
- zero
- zinc
- zncl2
Popular Posts
-
Amazon.com: Wooden Pick Up Sticks . WebJacks Game and Wooden Pick Up Sticks Combo Pack. 12 Metal Gold and Silver Jax. 2 Sizes of red h...
-
Methane, a common example of a tetrahedral, has a carbon atom surrounded by four hydrogen atoms. An isolated [cucl4] 2− usually has a (meta...
-
Fluorine being more electronegative than selenium also causes the unequal distribution of. Asf3 is polar because it has a lone pair, so the...