Taking the second derivative is not that challenging because we only need to use the quotient rule. If is both invertible and differentiable, it seems reasonable that the inverse of is also differentiable.
![]()
Question Video: The Derivative Of An Inverse Tangent Function | Nagwa
1.) use the simple derivative.

Second derivative of inverse tangent. Sialkot chamber of commerce & industry p.o. What is the second derivative of inverse tangent?. Applying differentiation formulas to an inverse.
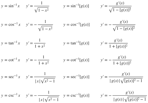
Recall that the formula of the quotient rule is: Find the composition f ′ ( f − 1 (. The rest of the inverse trigonometric functions are named in a similar way.
Start by finding its first derivative using the power. The derivatives of the six inverse. We begin by considering a function and its inverse.
Derivative of inverse tangent the following are the formulas for the derivatives of the inverse trigonometric functions we let y=arctan x where limits then tan y=x using implicit. For example when taking the. Therefore, to find the derivative of the inverse tangent function we can start with f (x) = tanx g(x) =tan−1x f ( x) = tan x g ( x) = tan − 1 x we then have, g′(x) = 1 f ′(g(x)) = 1.
🔗 2.6.3 inverse trigonometric functions. H ( x) = x 2 ln ( x) p ( t) = ln ( t) e t + 1 s ( y) = ln ( cos ( y) + 2) z ( x) = tan ( ln ( x)) m ( z) = ln ( ln ( z)) hint. Thanks to all of you who support me on patreon.
To use the derivative of an inverse function formula you first need to find the derivative of f ( x). To differentiate it quickly, we have two options: Use the second derivative test to tell if it is a local maximum or a local minimum.
F ′ ( x) = 2 x. The derivative of an inverse function. The inverse function theorem allows us to compute derivatives of inverse functions without using the limit.
However, it’s better to understand why it’s that. So here i will explain why. A function whose second derivative is positive will be concave up (also referred to as convex), meaning that the tangent line will lie below the graph of the function.
For each function given below, find its derivative. The answer to this question is ##1/ (1+x^2)##. In this case you can use the power rule, so.
You need the second derivative of the function. The inverse of the sine function is known as the arcsine function.

Derivatives Of Inverse Trigonometric Functions - Youtube
Finding Inverse Trig Derivatives — Krista King Math | Online Math Help
ads
Search This Blog
Blog Archive
- January 2023 (76)
- December 2022 (227)
- November 2022 (197)
- October 2022 (24)
Labels
- 0001
- 0081
- 111009
- 2205
- 2sinx
- 2x2yz5
- about
- absolute
- acceleration
- acceptable
- acetate
- achiral
- acid
- acids
- active
- adaptation
- additional
- affect
- africa
- allowance
- alpha
- aluminum
- always
- amide
- ammonia
- ammonium
- amphibians
- amplitude
- amss
- anaphora
- angle
- animals
- answers
- anti
- antiderivative
- antiderivitive
- antigen
- antonym
- apostrophe
- arccos
- archaea
- arcsin
- arctan
- arctanx
- area
- areq
- aromatic
- arteries
- atom
- atomic
- atoms
- awhere
- axis
- ball
- barium
- base
- bases
- bear
- become
- benzene
- beryllium
- beta
- between
- bigger
- biomes
- biotic
- black
- block
- bohr
- boil
- bond
- bonding
- bonds
- bone
- bored
- boron
- bound
- brf4
- broken
- bromination
- bromine
- bromo
- bronsted
- buffer
- butylcyclohexane
- c6h8o6
- cacl
- calcium
- calclulate
- calculate
- calculating
- calculator
- called
- calories
- campgrounds
- capacity
- captain
- carbon
- causes
- cell
- cells
- cellular
- center
- cfrequency
- chair
- change
- channel
- characteristics
- charge
- charges
- chiral
- chlorine
- chlorite
- choice
- chordata
- cillia
- circle
- citric
- clients
- clo2
- colorado
- combined
- complete
- compound
- compounded
- condensed
- confidance
- configuration
- confuguration
- congfuration
- conjugate
- constant
- continuous
- conversion
- convert
- copper
- core
- cos2x
- cosecant
- cosh
- cosines
- cospi
- cosx
- cosxsinx
- cotanx
- cotxcosxsinx
- count
- covalent
- create
- creatures
- crystal
- crystals
- cu2o
- cubic
- curve
- cycle
- cyclic
- cyclohexane
- cyclohexene
- daily
- decays
- decoxide
- deep
- define
- definition
- degree
- degrees
- delta
- deltagdeltah
- denature
- dense
- density
- derivatibe
- derivative
- derive
- determine
- deviation
- diagram
- diagrm
- diameninesilver
- diatomic
- difference
- differentiate
- difluoride
- dioxide
- diphenyl
- displacement
- dissection
- divided
- divsor
- dmso
- does
- double
- down
- each
- eighteen
- elastic
- electrolyte
- electron
- electrons
- elements
- emission
- empirical
- endian
- energy
- entropy
- equilateral
- error
- ethanol
- eukarya
- everyday
- evolution
- example
- examples
- excel
- excited
- exocrine
- exponential
- express
- fibrin
- fibrinogen
- find
- finding
- first
- five
- fives
- flattened
- fluoride
- fluorine
- fluoromethane
- force
- forces
- form
- formal
- formation
- formula
- four
- fourier
- fourth
- fraction
- freezing
- from
- function
- functions
- fxgx
- gain
- gallium
- gases
- gene
- generator
- geometry
- giant
- given
- gold
- good
- gradient
- grams
- graph
- ground
- group
- growth
- h2so4
- half
- halogenated
- halogens
- happen
- have
- heat
- helium
- herbivores
- hexane
- hn02
- homo
- horizontal
- hpo4
- humans
- husband
- hyaline
- hybridization
- hybridized
- hydrogen
- hydroxide
- hyperbola
- ideal
- imani
- imine
- important
- increases
- indicative
- infinity
- infity
- inner
- inorganic
- integral
- integration
- intel
- intercept
- intermolecular
- interval
- into
- invereses
- inverse
- iodine
- ionic
- ions
- isotope
- leaving
- left
- level
- lewi
- lewis
- life
- limit
- line
- linear
- liquid
- liters
- lithium
- little
- live
- living
- ln6x
- lnxx
- log10
- lose
- lumo
- machines
- maclauren
- made
- magic
- magnesium
- magnesuim
- make
- makes
- mango
- many
- marilyn
- mean
- meaning
- means
- measure
- meiosis
- melting
- metal
- metalloids
- metals
- methane
- methyl
- mgfecl2
- milian
- milk
- millimeters
- model
- modern
- molar
- molarity
- mole
- molecular
- molecule
- molecules
- moles
- most
- much
- na2o2
- nacl
- name
- naoh
- natural
- need
- negaive
- negative
- neon
- neutralization
- neutrons
- newman
- next
- niche
- nitrate
- nitride
- nitrite
- nitrogen
- noble
- nominative
- nonmetals
- nonpolar
- notation
- nuclear
- nucleolus
- nucleophile
- nucleophioles
- nucleus
- null
- numbe
- number
- numbers
- ocean
- odor
- open
- orbital
- order
- organic
- organisms
- over
- oxalic
- oxidation
- oxygen
- pageant
- palladium
- parallelism
- parametrize
- pelectrons
- penny
- percent
- perform
- period
- periodic
- person
- personification
- phosphorous
- photon
- pick
- pink
- plants
- plural
- plus
- point
- polar
- polyatomics
- polynomial
- positive
- postive
- potential
- practice
- predicate
- predict
- present
- pressure
- prime
- problems
- product
- projection
- prokaryotic
- propene
- proper
- protein
- proteins
- protic
- protons
- punctuate
- quantum
- quarters
- questions
- radial
- radians
- radical
- rainfall
- range
- rate
- reaction
- reactivity
- reasons
- reciprocal
- recoil
- rectifier
- reflex
- region
- reonance
- replication
- resonace
- resonance
- respiration
- ribosomes
- rock
- root
- root6
- rose
- rotated
- rule
- same
- sank
- score
- sec2
- sec2x
- second
- section
- secx
- sedimentary
- seeds
- seesaw
- self
- series
- shape
- shaped
- shapes
- shift
- sigfigs
- simple
- simplify
- sin195
- single
- singular
- sink
- sinx
- sinx0
- sinxcosx
- slope
- smell
- sodium
- soluble
- solutions
- solve
- somethin
- source
- spread
- sqare
- square
- squared
- squares
- stair
- standard
- state
- statistic
- sticks
- straw
- strong
- strongest
- structural
- structure
- structures
- subduction
- sugar
- sulfate
- sulfer
- sulfide
- sulfur
- sunk
- superego
- supernova
- supplemetn
- synaptic
- table
- tangent
- tanx
- taylor
- tdeltas
- teen
- temp
- temperature
- tends
- test
- tetrads
- tetrahedral
- tetraphosphorus
- than
- that
- theta
- things
- third
- threshold
- ti84
- times
- tips
- torr
- trachea
- trait
- trans
- transmission
- trees
- trench
- trends
- trinomials
- twenty
- type
- unfactorable
- units
- unwound
- using
- valence
- value
- vanillin
- verb
- versus
- vertex
- vinegar
- violation
- volcanoes
- volume
- vsepr
- warped
- water
- wave
- wavelength
- weak
- weekly
- weigh
- weight
- what
- when
- where
- which
- will
- wirh
- with
- without
- wooden
- write
- xcscx
- xtan
- year
- your
- zero
- zinc
- zncl2
Popular Posts
-
Amazon.com: Wooden Pick Up Sticks . WebJacks Game and Wooden Pick Up Sticks Combo Pack. 12 Metal Gold and Silver Jax. 2 Sizes of red h...
-
Methane, a common example of a tetrahedral, has a carbon atom surrounded by four hydrogen atoms. An isolated [cucl4] 2− usually has a (meta...
-
Fluorine being more electronegative than selenium also causes the unequal distribution of. Asf3 is polar because it has a lone pair, so the...